これが本当なら,エドマン分解の原理から考えると,総てのアミノ酸が読めない事になってしまいます。 末端アミノ酸を切りとった後のペプチドは,アミノ酸殘基が1個少ないペプチドとして処理されるわけですから(例えば参考 URL)。 おそらく『最初のサイクルのアミノ酸は読めない』ではなくて,「修飾(メチル化等)されたN末端では反応が起きないのなど エドマン分解法に対して優れた点も数多くもってい た しかし アミノ酸配列がプロダクトイオンマススペク トルの質に影響すること デ タの解釈 アミノ酸配列の 解読にある程度の経験が必要とされること エドマン分解一方、エドマン分解によるアミノ酸配列解析は、N末端か ら各アミノ酸を1つずつ順番に分析するため、質量およびデ ータベース依存性等の問題はありません。しかしながら、長 い配列情報を得ようとするとエドマン反応の効率が低下す
Jpb2 新規蛋白質脱アミド酵素 それをコードする遺伝子 その製造法並びにその用途 Google Patents
エドマン分解 欠点
エドマン分解 欠点-29 KB Degradacja Edmanagif 953 × 264;エドマン分解 の用例・例文集 また、この分析で利用される化学反応もエドマン分解と呼ぶ。エドマン分解は、ペプチドのアミノ酸配列を化学的手法で決定する方法である。エドマン分解に使用されるエドマン試薬としても知られる。一段階のエドマン分解をペプチドに施すことにより、n端側1



Jpb2 真菌および酵母におけるシチジンモノホスフェート シアル酸合成経路を操作する方法 Google Patents
エドマン分解 Edman Degradation 芳香族メタ光環化付加 Aromatic metaphotocycloaddition ノリッシュ・ヤン反応 NorrishYang Reaction ジπメタン転位 Diπmethane Rearrangement バートン・ケロッグ反応 BartonKellogg ReactionSearch the world's information, including webpages, images, videos and more Google has many special features to help you find exactly what you're looking forエドマン分解(エドマンぶんかい、英 Edman degradation )は、ペプチド(蛋白質)のアミノ酸配列を化学的手法で決定する方法である。 また、この分析で利用される化学反応もエドマン分解と呼ぶ。 エドマン分解反応は生化学者 ペール・エドマン (英語版) により1950年に発見された。
本試薬のエドマン分解への応用の可能性を検討した 第2章では, rnpopicと場合と問機にppopicとそのアミノ酸誘導 体の蛍光hplcへの適応性の検討及びアミノ酸の蛍光誘導体化反応条 件の検討を行った 第3章ではj cipicとそのアミノ酸及びジペプチド誘導体の蛍光タイトル: 特許公報(b2)_アミノ末端修飾タンパク質のアミノ末端由来ペプチドの同定方法 出願番号:3 エドマン(Edman)分解を行うと、最初にグリシン残基が切断される。 4 カルボキシ末端のアミノ酸残基は、翻訳後修飾を受けている。 5 塩基性アミノ酸は含まれていない。 REC講師による詳細解説! 解説を表示 解答 2、4 1 誤
ドマン分解4回目(&)までは順調に反応が進行しN末端から4番目までのアミノ酸配列はHGlyI1 eValGlxーと分析できた。しかし5回目のエドマン分解は進まず 5番目以降のアミノ酸配列 を決定するζとはエドマン分解法(Edman法)とは、タンパク質・ペプチドのN末端より逐次的にペプチド結合を切断し、タンパク質の一次構造を決定する方法です。 図1:エドマン分解のスキーム 3) 原理PMF の利点は、同定に際して エドマン分解のような時間のかかる de novo シークエンス作業を必要としないことである。逆に欠点は、検索対象のタンパク質が必ずデータベースに存在していなければな



2



質量分析法を用いたペプチドのアミノ酸配列決定方法 該方法に使用されるペプチド誘導体化試薬 及び試薬キット
真空加水分解チューブおよび定量用標準品が含まれます。 Amino Acid Standard H タンパク質加水分解物のHPLC解析で使用するための定量的較正用標準品、アミノ酸18種類の混合液、01 N HCl溶液中に各アミノ酸が25 マイクロモル/mL PITC(エドマンエドマン分解 エドマン分解 (エドマンぶんかい、)は、ペプチド(蛋白質)のアミノ酸配列を化学的手法で決定する方法である。 また、この分析で利用される化学反応も エドマン分解 と呼ぶ。 エドマン分解 反応は生化学者により1950年に発見された。 一段階の エドマン分解 をペプチドにアミノ基用蛍光ラベル化剤およびエドマン分解用蛍光試薬 / Novel fluorogenic Edman Reagent ペプチド,タンパク質のN末端より逐次アミノ酸配列を決定する方法,いわゆるエドマン分解にはフェニルイソチオシアナートがよく用いられていますが,更に高感度な定量



総説 プロテインシーケンサ Ppsq 50 グラジエントシステムの開発 Siyaku Blog 試薬 富士フイルム和光純薬



Wo1905a1 ヒトパピローマウィルス Hpv l2蛋白質を認識するモノクローナル抗体とそれを使用したhpv中和抗体価測定法 Google Patents
エドマン分解法(Edman degradation) 一度に1残基ずつ順番にペプチドやタンパク質のN末端を切断し同定する方法。PTC法(PTC method)、PTH法(PTH method)と略記。弱塩基性の条件下でフェニルイソチオシアネート(PTCペプチドのアミノ酸配列 ペプチドはN末端から順に pitc (フェニルイソチオシアネート)法による自動シークエンサーあるいはdabitc(ジメチルアミノアゾベンゼンイソチオシアネート)を用いた微量手動エドマン法により配列を決定していく. 1)プロテインシークエンサー用試料調製法 化学 エドマン分解 実習でエドマン分解を行いHPLCで分析した結果、末端アミノ酸の収率が1サイクル目より2サイクル目のほうが高くなりました。これって理論上ありえないことなんでしょうか?この場合、自 質問No



2



Jpa 質量分析法を用いたペプチドのアミノ酸配列決定方法 該方法に使用されるペプチド誘導体化試薬 及び試薬キット Google Patents
エドマン分解 (エドマンぶんかい、 英 Edman degradation )は、 ペプチド ( 蛋白質 )の アミノ酸配列 を 化学 的手法で決定する方法である。 また、この分析で利用される 化学反応 もエドマン分解と呼ぶ。 エドマン分解反応は 生化学者 ペール・エドマン ( 英語版 ) により 1950年 に発見された。85 KB Degradacio Edmanpng 414 × 761;24 KB Beispiel Edman Version 3png 8,704 × 1,468;



09 号 ラベル化によるアミノ酸配列解析方法 Astamuse



エドマン法 プロテインシークエンサー 分析 製品情報 試薬 富士フイルム和光純薬
UpToDate Contents 全文を閲覧するには購読必要です。 To read the full text you will need to subscribe 1 経皮経肝胆管造影 percutaneous transhepatic cholangiography;Media in category "Edman degradation" The following 14 files are in this category, out of 14 total Beispiel Edman Version 2svg 1,190 × 260;フェロセンを配したエドマン型試薬タンパク質・ペプチド分析への応用研究 佐藤涼, 後藤貴章, 李宣和, 大江知行 分析化学討論会講演要旨集 74th 14年



Jpa 糸状菌由来グルコース脱水素酵素の製造方法 Google Patents



21 号 単一分子ペプチド配列決定のための手段および方法 Astamuse
3) タンパク質のアミノ酸配列決定法 YAKUTIK ~薬学まとめました~ 薬学まとめました トップページ > 生化学まとめました (2) > 2-4 タンパク質の取扱い > ていてエドマン分解がまったく進まないケースも多々あ る 糖鎖やファルネシル基などの修飾を化学的に分析す るには, さらに多量のタンパク質と熟練した技術も必要 になる このような状況の中で, 質量分析をペプチド・タンパ・エドマン分解法(N末端) 3フェニル2チオヒダントインアミノ酸 hplc・odsカラムで分離 269nmの吸光度で検出 欠点:n末端アミノ基が閉鎖 エドマン分解法によるアミノ酸配列分析法において、n末端アミノ酸と反応させる。



序 論 生化学とは 生化学はbiochemistryという名で表したように簡単にいえば生命の化学である ギリシャ語ではbiosは生命という意味である つまり生化学は化学的理論と技術および物理学 免疫学の原理と方法を応用し 生体における化学構成と化学的変化を研究する学問で



Woa1 植物の生育促進およびバイオマス量の増加に関与する遺伝子ならびにその利用方法 Google Patents
エドマン分解 WordNet the 16th letter of the Roman alphabet (同)p;次に、Edman分解について述べる。 この方法はN末端残基を取り外した後、残りのペプチド鎖がそのまま残るため、Sanger法よりも有利である。 この方法は、N末端アミノ基とPhenyl isothiocyanateとの標識反応を用いる。その後、1967 年にエドマンらにより、液相でエドマン分解を自動処理する装置が開発された 4) 。 1980 年代に気相式でエドマン分解を自動処理し、高速液体クロマトグラフィー(HPLC)により PTH アミノ酸をイソクラティック溶離し分析する国産初の気相式プロテインシーケンサ PSQ1 が開発され



1995 5015号 タンパク質配列決定法 Astamuse



Jpa 質量分析法を用いたペプチドのアミノ酸配列決定方法 該方法に使用されるペプチド誘導体化試薬 及び試薬キット Google Patents
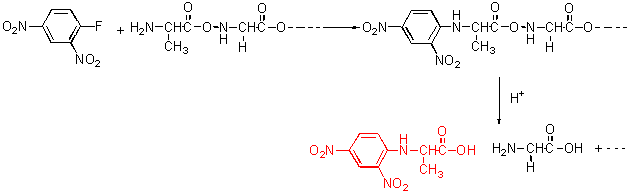
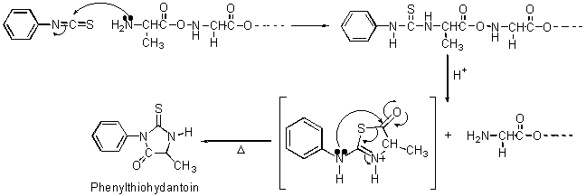
Edman degradation (エドマン分解) ポリペプチドのアミノ末端 (Nterm)から、アミノ酸残基を1つづつ切り離す方法。 アミノ酸組成の決定などに用いられる。 ① フェニルイソチオシアネート が、ペプチド鎖の 電荷のない末端アミノ基 と反応し、 フェニルチオカモバイル誘導体 を形成する。 ②次に、穏やかな酸性条件下で、この末端アミノ基の環状誘導体が切り離されJPB2 JPA JPA JPB2 JP B2 JP B2 JP B2 JP A JP A JP A JP A JP A JP A JP B2 JP B2 JP B2 Authority JP Japan Prior art keywords amino acid amino acid derivative protein acid sequence Prior art date Legal status



Jpa 糸状菌における機能性抗体の生産 Google Patents



総説 プロテインシーケンサ Ppsq 50 グラジエントシステムの開発 Siyaku Blog 試薬 富士フイルム和光純薬



1998 号 タンパク質あるいはペプチドのアミノ酸配列を決定する方法 Astamuse



Jpb2 オルタナンスクラーゼをコードする核酸分子 Google Patents



Jpb2 カルボキシ末端プロリンを有するペプチドに富むタンパク質加水分解物 Google Patents



1994 号 ペプチド これを用いたクラミジア トラコマティス感染症診断試薬及び診断法並びにクラミジア トラコマティス菌体の精製法 Astamuse



Jpb2 真菌および酵母におけるシチジンモノホスフェート シアル酸合成経路を操作する方法 Google Patents



エドマン法 プロテインシークエンサー 分析 製品情報 試薬 富士フイルム和光純薬



Edman Degradation エドマン分解 生化学知識 実験ノート



タンパク質のn末端アミノ酸決定法 サンガー法 ダンシル法 エドマン法 化学徒の備忘録



Wo1905a1 ヒトパピローマウィルス Hpv l2蛋白質を認識するモノクローナル抗体とそれを使用したhpv中和抗体価測定法 Google Patents



Catatan Tentang アミノ酸 タンパク質の分析 Clearnote



1995 5015号 タンパク質配列決定法 Astamuse



Jpa 真菌および酵母におけるシチジンモノホスフェート シアル酸合成経路を操作する方法 Google Patents



Jpb2 オルタナンスクラーゼをコードする核酸分子 Google Patents



1995 号 アミノ酸配列を決定する方法 Astamuse



質量分析法を用いたペプチドのアミノ酸配列決定方法 該方法に使用されるペプチド誘導体化試薬 及び試薬キット



2



2



Jpa 質量分析法を用いたペプチドのアミノ酸配列決定方法 該方法に使用されるペプチド誘導体化試薬 及び試薬キット Google Patents



1998 号 タンパク質あるいはペプチドのアミノ酸配列を決定する方法 Astamuse



2



Jpb2 カルボキシ末端プロリンを有するペプチドに富むタンパク質加水分解物 Google Patents



2



09 号 ラベル化によるアミノ酸配列解析方法 Astamuse



1995 号 アミノ酸配列を決定する方法 Astamuse



アミノ酸分析



エドマン分解 Edman Degradation Chem Station ケムステ



Jpb2 新規ムチン型糖タンパク質及びその用途 Google Patents



Jpb2 オルタナンスクラーゼをコードする核酸分子 Google Patents



Bt3wapujudmwjm



09 号 ラベル化によるアミノ酸配列解析方法 Astamuse



1995 1657号 タンパク質のアミノ末端ペプチドの分離方法 Astamuse



Woa1 植物の生育促進およびバイオマス量の増加に関与する遺伝子ならびにその利用方法 Google Patents



Jpa 糸状菌における機能性抗体の生産 Google Patents



エドマン分解 Edman Degradation Chem Station ケムステ



エドマン分解法の限界について教えてください エドマン分解法については調べられ Yahoo 知恵袋



Jpb2 新規蛋白質脱アミド酵素 それをコードする遺伝子 その製造法並びにその用途 Google Patents



アミノ酸分析



Jpa 質量分析法を用いたペプチドのアミノ酸配列決定方法 該方法に使用されるペプチド誘導体化試薬 及び試薬キット Google Patents



序 論 生化学とは 生化学はbiochemistryという名で表したように簡単にいえば生命の化学である ギリシャ語ではbiosは生命という意味である つまり生化学は化学的理論と技術および物理学 免疫学の原理と方法を応用し 生体における化学構成と化学的変化を研究する学問で



1995 5015号 タンパク質配列決定法 Astamuse



Jpb2 新規蛋白質脱アミド酵素 それをコードする遺伝子 その製造法並びにその用途 Google Patents



1998 号 n 末端タンパク質配列決定試薬と アミノ酸誘導体の製造方法 Astamuse



エドマン法 プロテインシークエンサー 分析 製品情報 試薬 富士フイルム和光純薬



Jpb2 新規蛋白質脱アミド酵素 それをコードする遺伝子 その製造法並びにその用途 Google Patents



1998 号 タンパク質あるいはペプチドのアミノ酸配列を決定する方法 Astamuse



03 号 プロテオームの調査 Astamuse



エドマン法 プロテインシークエンサー 分析 製品情報 試薬 富士フイルム和光純薬



質量分析法を用いたペプチドのアミノ酸配列決定方法 該方法に使用されるペプチド誘導体化試薬 及び試薬キット



Jpa 糸状菌における機能性抗体の生産 Google Patents



Wo10 号 タンナーゼ それをコードする遺伝子及びその製造法 Astamuse



Jpb2 オルタナンスクラーゼをコードする核酸分子 Google Patents



1998 号 タンパク質あるいはペプチドのアミノ酸配列を決定する方法 Astamuse



Jpa 糸状菌における機能性抗体の生産 Google Patents



1995 5015号 タンパク質配列決定法 Astamuse



70以上 エドマン分解 欠点 エドマン分解 欠点 Blogjpmbaheprkd



1998 号 タンパク質あるいはペプチドのアミノ酸配列を決定する方法 Astamuse



Jpa ピルビン酸デカルボキシラーゼ pdc 遺伝子の細菌からのクローニングおよび配列決定 ならびにその用途 Google Patents



エドマン分解 Wikipedia



1995 5015号 タンパク質配列決定法 Astamuse



Jpb2 オルタナンスクラーゼをコードする核酸分子 Google Patents



エドマン法 プロテインシークエンサー 分析 製品情報 試薬 富士フイルム和光純薬



エドマン分解とは コトバンク



エドマン分解 Edman Degradation Chem Station ケムステ



2



I 構造編 9 アミノ酸配列の決定 コスモ バイオ株式会社



1994 号 ペプチド これを用いたクラミジア トラコマティス感染症診断試薬及び診断法並びにクラミジア トラコマティス菌体または菌体由来物質の精製法 Astamuse



Jpb2 新規蛋白質脱アミド酵素 それをコードする遺伝子 その製造法並びにその用途 Google Patents



2



Jpb2 分子内シャペロン様配列を含有するキメラタンパク質およびインスリン製造へのその適用 Google Patents



Jpb2 真菌および酵母におけるシチジンモノホスフェート シアル酸合成経路を操作する方法 Google Patents



質量分析法を用いたペプチドのアミノ酸配列決定方法 該方法に使用されるペプチド誘導体化試薬 及び試薬キット



質量分析法を用いたペプチドのアミノ酸配列決定方法 該方法に使用されるペプチド誘導体化試薬 及び試薬キット



Jpa 質量分析法を用いたペプチドのアミノ酸配列決定方法 該方法に使用されるペプチド誘導体化試薬 及び試薬キット Google Patents



Jpb2 オルタナンスクラーゼをコードする核酸分子 Google Patents



総説 プロテインシーケンサ Ppsq 50 グラジエントシステムの開発 Siyaku Blog 試薬 富士フイルム和光純薬



Jpa 質量分析法を用いたペプチドのアミノ酸配列決定方法 該方法に使用されるペプチド誘導体化試薬 及び試薬キット Google Patents



2



2



1998 号 タンパク質あるいはペプチドのアミノ酸配列を決定する方法 Astamuse



Edman Degradation エドマン分解 生化学知識 実験ノート



Jpa 質量分析法を用いたペプチドのアミノ酸配列決定方法 該方法に使用されるペプチド誘導体化試薬 及び試薬キット Google Patents



Jpb2 分子内シャペロン様配列を含有するキメラタンパク質およびインスリン製造へのその適用 Google Patents



2



公表特許公報


0 件のコメント:
コメントを投稿